Fe y ciencia

Acabo de leer, en uno de los foros de una de las materias que estoy cursando, la siguiente estadística: «83.6% cree más en la fe que en la ciencia», me parece que está mal planteada la forma en que hicieron la pregunta para obtener ese resultado.

La discusión sobre la intersección entre ciencia y fe es profunda y multifacética. La referencia a Pablo (el apóstol) en su carta a los romanos es particularmente pertinente y esclarecedora:

«Porque las cosas invisibles de él, desde la creación del mundo, se hacen claramente visibles, siendo entendidas por medio de las cosas hechas, tanto su eterno poder, como su deidad; de modo que no tienen excusa.» Romanos 1:20 RVR60

Este versículo sugiere que a través de la observación del mundo natural—las «cosas hechas»—, podemos llegar a comprender aspectos de la divinidad. Esto indica que el universo, en su orden y complejidad, testimonia la existencia y los atributos de un creador, accesible a todos y dejando sin excusa a quienes eligen no reconocer a Dios.

Esta perspectiva no solo se alinea con la visión religiosa, sino que también encuentra eco en el pensamiento de notables científicos y pensadores, quienes han expresado su asombro ante el universo y la naturaleza. Por ejemplo:

Galileo Galilei afirmaba que «La matemática es el lenguaje con el que Dios ha escrito el universo», lo que refleja la idea de que el descubrimiento de leyes matemáticas que gobiernan el cosmos es una manera de entender el plan divino.

Albert Einstein mencionó que «Cuanto más comprendo la física, más me inclino hacia el misticismo», destacando cómo su comprensión del universo le llevó a contemplar lo místico, a pesar de sus complejas creencias personales sobre Dios y la religión.

Jane Goodall ha compartido su sentido de maravilla y conexión espiritual con la naturaleza y los animales, indicando que «Sientes esta maravilla… y sabes que estás en armonía con algo mucho más grande que tú mismo.»

Neil deGrasse Tyson observa el universo como «un cosmos sin lugar para las creencias basadas en la autoridad; veo un universo rigurosamente determinista, magníficamente indiferente a nuestras creencias personales», lo que subraya una admiración por el universo desde una perspectiva científica rigurosa.

Comparto la visión de Galileo Galilei y creo que es posible profundizar en un aspecto sin perder el otro. Porque son para propósitos diferentes. Lo que históricamente ha estado en conflicto es la relación entre religión organizada y ciencia, más que entre fe y ciencia como conceptos. La ciencia y la fe pueden coexistir y complementarse, enriqueciendo nuestra comprensión y apreciación del mundo y más allá. 

Referencias

buzonuv@uv.mx. (s. f.). El conocimiento científico presente en la vida cotidiana – Dirección de Comunicación de la Ciencia. https://www.uv.mx/cienciauv/blog/cienciavidacotidiana/

Binarias.

En la búsqueda del camino (o de algún camino, no creo sea solo uno) a la libertad financiera he probado alternativas, unas que me han dejado experiencias agradables y otras mas desagradables (no creo prudente categorizar como buenas y malas), y hay que mencionar que en su mayoría han sido desagradables, y esto que expongo ahora tiene un tono agridulce.

La ultima opción que he probado, en estas breves vacaciones de Semana Santa del 2019, han sido las opciones binarias de IQ Option. He experimentado de primera mano la emoción de ganar grandes cantidades (en el orden de miles) en unas horas… pero también el trauma de perder aún más grandes cantidades en pocos minutos. Sin embargo, tengo la experiencia agradable que, dentro de tantas emociones, el balance a sido a mi favor. Y tratare de compartir, lo mejor que pueda, mis experiencias.

Debes considerar que el método que expondré a continuación me llevo a estar (cuando menos) en la posición 111 a nivel mundial, con respecto al broker y sus usuarios en que estuve operando. Y aunque ya tenia tiempo con la cuenta, no había tenido rendimientos como los que tuve hasta haber aplicado el método.

Todo empezó desde que a raíz de un comentario de mi padre, visualice una estrategia, donde simplemente no era posible perder (o muy poco probable perder). La estuvimos desarrollando y experimentando durante un periodo en la versión de prueba y luego la llevamos a la cuenta real. Desafortunadamente, ya en la cuenta real, requiere de una actitud estoica en las desiciones, como si aquello en lo que estas especulando no estuviera en juego la cantidad que has colocado, ademas de una cantidad obscena para empezar. Te mostrare ahora, en la siguiente imagen, un ejemplo de lo que estoy hablando.

Debe estar loco (o tener un plan) para arriesgar esa cantidad de dinero, recuerda que esta en dólares americanos, sobre todo considerando la capacidad adquisitiva en la que me encontraba en ese momento. Es decir estamos hablando de lo que sería dos meses de trabajo como docente (y por encima del promedio) en tan solo 60 segundos.

Esa imagen es evidencia del primer acercamiento al método (aun incompleto) con el que estaba operando al inicio, a esa primer etapa o técnica la considero ahora como a la «fuerza bruta». Que en conjunto con otras dos técnicas, les considero «El método».

1er Estrategia – Insistencia y recursos (fuerza bruta).

Primero hay que considerar, aunque no lo sean, ambas opciones binarias como equiprobables. Las cuales, como en un volado, tienen solo dos eventos siendo SUBE ó BAJA. Teniendo, ademas, nociones mínimas de cómo se mueven los gráficos de velas, se debería de llegar a ganar en algún momento, después de haber errado varias veces.

La diferencia con respecto al volado es que, es que en el volado se puede ganar el 100% y perder el 100% y en las opciones binarias puedes perder el 100% y ganas… bueno eso depende del broker donde estes operando, IQ da rendimiento desde el 50% hasta el 95% (en fines de semana). Y sospecho que dicho rendimiento esta vinculado a la volatilidad que a mayor rendimiento mayor riesgo.

El rendimiento máximo otorgado, en la plataforma IQ, es del 95%, y este es el que tiene el riesgo mas alto, y a niveles no manejables, ya que al no dar mas porcentaje, cuando este por encima de la volatilidad que consideran digna de empezar a ofrecer el 95% (eso y que el numero de personas operando sea significativo), no hay porcentaje adicional en caso de que incremente la volatilidad. En otras palabras, no se puede asegurar que un día trabajando al 95% sea tan predecible como otro día con el mismo porcentaje (ni siquiera durante el mismo día).

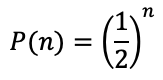
¿Por qué estoy hablando del rendimiento y de volatilidad? Porque es lo que determina qué tan «económico» puede ser usar la teoría para eventos binarios repetitivos. Considerando la posibilidad de un evento repetitivo, como el ejemplo del volado, la probabilidad de que continúes errando se expresa por la siguiente formula (considerando que no cambias tu postura) es:

Un medio elevado a la potencia del número de evento a analizar, nos diría la probabilidad (en forma decimal) de que el mismo evento se repita n numero de veces. Dicho de otra manera, ¿que tan probable es que te sigas equivocando?

Volado: Juego entre dos personas, donde se lanza al aire (y dando vueltas) una moneda y mientras la moneda esta girando en el aire alguno de los dos elige uno de los dos lados, una ves la moneda a dejado de moverse se observa la cara que ha quedado a la vista (al terminar su vuelo). Si el individuo ha atinado el resultado es el ganador (tradicionalmente se queda con el valor de la moneda o el valor apostado). Lo menciono para poner en contexto a alguien que desconozca el termino.

Si te equivocas en el primer evento (colocaste sube y en realidad bajo, o colocaste baja y subió) y continuas abriendo posiciones en el siguiente evento/tiempo, en algún momento, en un futuro lejano o cercano, le habrías de haber atinado (por malo que seas).

Sugerencia: Entra a tu cuenta de IQ y ve tu historial, revisa cuantas perdidas continuas tienes, te servirá para calcular algo un poco mas adelante.

Retomo la idea, les decía que a diferencia del volado en las operaciones binarias solo puedes recibir el beneficio determinado por IQ Option. Por lo que tienes que considerar ¿qué harás después de perder una operación? Bien, puedes aceptar la perdida como todo un Trader ejemplo y continuar tu día de operaciones, aceptando las perdidas y abriendo posiciones con la misma cantidad de siempre (que es lo que esperan hagas). O puedes aumentar la suma invertida, para recuperar la cantidades perdidas en operaciones previas..

Pero ¿que tanto tienes que aumentar la cantidad? Bueno, para eso esta la siguiente formula:

Donde Vdr es Valor de recuperación, Vp es valor perdido y Rendimiento % es la tasa en forma decimal que te da el broker (el rendimiento esperado). Siendo el valor de recuperación Vdr según el numero de perdidas que quieras recuperar mas la cantidad de dólares (K) adicionales que quieras.

K es la cantidad de dólares que quieres recuperar después de sanear una perdida. Es decir, si solo quieres que con tu siguiente posición ganadora recuperar lo perdido entonces debes colocar K=cero. K es el valor que deseas ganar en en el evento n de recuperación.

Una parte importante a considerar es que, después de revisar tu historial de movimientos debes determinar cual ha sido tu máximo numero de errores consecutivos y entonces podrías calcular los valores de recuperación, para que no pierdas, basándote en la formula y generando la lista, desde el valor inicial hasta el valor n, que son los valores con los cuales vas a recuperar en caso de que te equivoques en el inicial. También debes de considerar cuál es el monto máximo en la secuencia y deberas tener el recurso para dichos movimientos de recuperación. Y todo esto considerando tu valor máximo de movimientos erróneos, que aunque no es una garantía de que no llegaras a más, es una buena referencia.

Sin embargo, es importante señalar que el incremento del valor de la operación en perdidas consecutivas es mayor a dos veces lo invertido previamente (y eso sin tomar en cuenta la K). Por lo que, debes contar con el capital suficiente y el carácter para continuar incrementando el monto hasta que hubieres recuperado las cantidades previas.

El apostador: La mayoría de los usuarios cuando han ganado un dólar consideran pueden jugar usando la apuesta ganada y así multiplicar la cantidad, en una racha ganadora van aumentando el monto considerablemente rápido. Ganan un dólar, entonces ahora apuestan 2 y así sucesivamente, el problema es que en un momento dado y en un solo movimiento, o pocos, todo su capital se ha perdido.

2da Estrategia – Cazando oportunidades.

Aunque la fuerza bruta, explicada en el punto anterior, es funcional. Necesitas de iniciar con una suma significativa (para respaldar los movimientos) y de tener preestablecidos tus criterios de operación (las cantidades con las que vas a estar operando). Y también tiene la desventaja de que en un túnel con un periodo ampliado, si no lo sabes reconocer, y te empeñas en sostener la misma posición (SUBE o BAJA), puedas perder en cuestión de minutos todo tus recursos.

Por ejemplo, si consideramos el factor de multiplicación de 3, e iniciando las operaciones con solo un dólar y considerando un retorno del 85% la secuencia de operaciones seria la siguiente:

#OperaciónPerdidasGanancia
1110.85
2341.55
39133.65
427409.95
58112128.85
624336485.55
77291,093255.65
82,1873,280765.65
96,5619,8412296.85
101,968329,5246889.55
1159,04988,57320667.65

Habría que tomar desiciones erróneas 10 veces seguidas, para que la 11 no fuera posible, y esto debido a los limites de operación que, por una razón evidente, se encuentran presentes.

En esa foto se puede ver un segmento de la estrategia, en la misma solo se ve el beneficio obtenido, y se podría deducir con unas cuantas ecuaciones cual es la tabla que estuve utilizando en la mayor parte del tiempo, pero ¿en que nivel de la tabla me encontraba cuando llegué a poner en juego $1,253.00USD, es evidente que en todo esto intervienen mas factores que el simple incremento de lo invertido esperando recuperar en la primer ganada el monto previo perdido (mas la ganancia). En otras palabras, funciona pero lleva consigo un riesgo grande y es hasta cierto punto desgastante fisicamente (la adrenalina suele causar esos efectos, no es lo mismo el modo de prueba que el modo real).

Pero ¿qué escurriría si se pudiera predecir la conducta? No de forma exacta, sino a manera de tendencia. Que al ver los gráficos dijeras esto va a bajar (o a subir) y aun cuando no lo hiciere en el momento exacto en que has abierto la posición lo hiciera en un momento posterior. Querría decir que en la secuencia de eventos colocados, no tendrías que llegar a cantidades tan descomunales como en un evento once.

Y claro, puedes generar tablas de operación mas conservadoras, en este caso el incremento es de tres veces el valor previo invertido a modo de recuperar y ganar. Pero podrías aplicar la formula de recuperación desde el evento 2 con un valor de K=0 (cero) y los montos requeridos para llegar a un evento once serían cercanos al 10% del evento 11 en esta tabla, por lo que podrías llegar a eventos posteriores sin superar el limite que tienes el Broker máximo de movimiento. O con un valor K constante, o un valor K creciente (equivalente al numero del evento, por ejemplo).

La pregunta para esta segunda parte es ¿cómo se puede mejorar la puntería? ¿Cómo te puedes mantener tranquilo cuando no sale como pensabas que saldría? Esas y otras preguntas más, espero después darme un tiempo para colocar eso.

Pero por lo pronto, te puedo adelantar que todo será el resultado de practicar, practicar y practicar (imagen previa). Afortunadamente eso lo puedes hacer con la cuenta de práctica, sin tener que invertir, aunque siempre será/sentirás diferente en cuanto le pongas dinero.

Aprendiendo (Wallet)

Hace un año, y unos días, realice una compra de 0.29716796 BTC, criptomoneda que en aquel entonces se encontraba al rededor de los $125mil pesos (MXN), La compra la realice en BTISO (un portal donde puedes comprar varias criptomonedas a cambio de MXN). Al día de hoy (junio 26, 2019) se encuentra en $244mil pesos, pero lamentablemente los ocupe en otra cosa (que de momento esta peligrando, pero eso es otra historia).

¿Qué aprendi de eso? Bueno varias cosas importantes, las cuales explicare lo mejor que pueda para que aprendas de mi experiencia.

Primero: No se debe confiar las criptomonedas a las Wallet en la nube ni a los Exchange, debido a que son vulnerables a «ataques» y a posibles «tentaciones» de parte quien administra los portales. Pues a final de cuentas son «Wallet de escritorio», pero no en tu escritorio. Lo mismo ocurre con la minería de nube, que es también susceptible (no aplica a las Pool de minado).

Segundo: Los Exchange, no son malos si se usan para el propósito de comerciar y cambiar las criptomonedas, pero se convierten en riesgosas si mantienes las criptomonedas como si fueran una wallet.

¿Qué se puede hacer entonces para estar en el barco de las criptomonedas? (sin correr tanto riesgo, de esa Indole). Bueno, es simple.

a) Usar los Exchange para lo que son, intercambiar criptomonedas (por criptomonedas). Y después rescatar tu dinero del riesgo latente (realizar el retiro a tu Wallet de escritorio)

b) Usar una Wallet de escritorio o un dispositivo (hardware. Para periodos largos de tiempo, cuando estas esperando que las criptomonedas incrementen su valor. Y cuando estén en el punto donde las quieras vender…

c) Utilizar un Exchange (como Bitso) para cambiar (después de la fluctuación esperada) tus criptomonedas a dinero fiduciario (es decir, la moneda de tu país de preferencia). Y mandar dicho dinero fiduciario a tu cuenta bancaria tradicional.

Ahora, para facilitarte la vida, colocare unos enlaces, para que tengas acceso a un Exchange, una Wallet de escritorio y sí estás en México un Exchange donde puedas cambiar tus criptomonedas a pesos mexicanos.

Exchange:
https://big.one

Wallet de escritorio:
http://atomicwallet.io

Exchange Criptomonedas/MXN:
https://bitso.com

Las comisiones que cobran por las transacciones son insignificantes, comparado con el rendimiento que puede generar él comprar las criptomonedas cuando están en un valor bajo y venderles cuando estén en un valor alto.

Tal ves te paso desapercibido, pero de haber conservado los BTC en una Wallet de escritorio (el que mencione en el primer párrafo) su valor en MXN se habría casi duplicado, multiplicado por 1.952 (uno punto nueve dos cinco veces) es decir habría aumentado su valor mas un 95.2% adicional. Claro que para eso habría tenido que mantener la calma cuando bajo el BTC a menos de 70mil pesos.

Nota: Aprovechar esos cambios a largo plazo, es algo que no se puede hacer (a menos que tengas mucho recurso) en los contratos por diferencia CFD que ofrecen plataformas como eToro, IQ Options, +500 entre otras. Por lo que si quieres realmente invertir en criptomonedas los broker no son una opción a mediano y largo plazo.

Nota: Si eliges la Wallet Atomic, que es realmente simple de usar, cuando le tengas instalada y hayas respaldado las 12 palabras de encriptación. Ve a configuración y utiliza este código promocional: 10JGP3 justo abajo de donde, al poner tu correo, te suscribes (a noticias, principalmente) y te darán 25 AWC (que es una criptomoneda que va empezando) que tiene un valor de $2.9USD al día de hoy (unos $75.00MNX aproximadamente).

Y ahora sí, puedes empezar a manejar criptomonedas. Sin pasar por experiencias desagradables.

Nota curiosa: Al terminar de escribir esta entrada en el blog, el BTC se encuentra a $251,815.43MXN (23:21hrs).

*

*Complementando con video grabado durante la asignatura Seminario de Instrumentos Financieros, en la Universidad Politécnica del Bicentenario.

¿Qué son las criptomonedas?

Son monedas encriptadas digitales, que basan su seguridad en una tecnología llamada cadena de bloques​ o cadena articulada, conocida en inglés como blockchain. Esta cadena de bloques contiene el historial de transacciones de toda la comunidad que utiliza la moneda, y cada máquina en la comunidad a su vez contiene una copia de dicho historial. Contablemente sería el «libro mayor», donde cada línea está certificada. Este libro de forma abierta lo tienen y conocen cada parte de los nodos en la red. Sin necesidad de un intermediario, se auto certifica la red.

El dinero tradicional es generado en imprentas, después ese papel sin valor real (más que por el hecho de ser papel) es inyectado en los mercados, pagando obras públicas, préstamos, sueldos de funcionarios, actos de corrupción, lujos y excesos de los políticos, etc. Es decir, es la institución centralizada (con sus diferentes nombres) quien imprime y decide de qué manera poner el dinero en circulación. (Hay una miniserie en Netflix, de excelente calidad, que toca estos temas: La casa de papel).

Cuando se realiza una transacción con dinero tradicional, bien puede ser verdadero o falso, en efectivo o de forma electrónica. En el primer caso, cuando es en efectivo puede ser falsificado en otra imprenta (imitando al original) y cuando es de forma electrónica puede ser «gastado doble» o por un tercero. Los bancos son los encargados de llevar el conteo en su «libro mayor» sobre los movimientos del dinero, y por el hecho de ser los que llevan el control pueden cobrar grandes comisiones (siempre un intermediario tomara su parte)

criptomonedas

*Los logotipos de algunas de las criptomonedas más utilizadas.

Por el contrario en las criptomonedas el proceso de generación y transacciones están blindadas debido a que son certificadas por toda la red de usuarios, por lo que no es posible falsificar y generar más criptomonedas o duplicarlos. Tampoco es necesario un intermediario que certifique el «libro mayor» porque es la red de usuarios quien hace este proceso. Por ese motivo, se dice que es descentralizado.

Al proceso de certificación, donde las computadoras en la red buscan resolver los planteamientos matemáticos mediante los cuales se certifica cada operación se le conoce como «minería», realizar estas certificaciones requiere usar los recursos de las computadoras y tiene por recompensa cierta cantidad de criptomonedas. Para realizar la certificación los «mineros» (las personas) prestan la capacidad y recursos de sus equipos para realizar estos cálculos.

La forma en la que las criptomonedas son generadas, es mediante las recompensas que se otorgan a los mineros cuando certifican una transacción (según su participación en la solución de los problemas, donde se validan las transacciones y por el algoritmo que determina los montos de recompensa que es diferente para cada criptomoneda).

Cada criptomoneda es diferente en el aspecto de apreciación (valor de la moneda), creación de la moneda (el ritmo al que es generada) y el tope de generación de la moneda (es decir cuantas criptomonedas son o serán impresas) y en cuanto tiempo alcanzará ese tope (de estar topada). Pero todas utilizan la tecnología Blockchain.

blockchain

(Imagen https://www.thomsonreuters.com/en/reports/blockchain.html
fuente: Financial Times)

Cuando una parte quiere realizar un envío de criptomoneda (pagar, regularmente) esa información sube a la red de nodos (mineros) como un bloque, dicho bloque es verificado por las computadoras en la red, cuando es aprobado se agrega a la cadena de bloques y solo entonces el receptor tendrá el envio. Y la cadena de bloques es actualizada en toda la red, por lo que no pasara nada si una parte de la red se desconecta, o se reconecta.

blockchain-technology-market-size

*El mercado del Blockchain no ha hecho más que crecer, de forma estrepitosa y se prevé que lo continúe haciendo. (Fuente: https://www.statista.com/statistics/647231/worldwide-blockchain-technology-market-size/)

La cadena de bloques contiene, la cantidad de criptomonedas que tiene cada dirección. Para poder hackear la blockchain se necesita una máquina/computadora que pueda hacer los procesos más rápidos que la red de mineros, pero el poder combinado de la red de mineros es superior a la suma de las mejores supercomputadoras en la tierra, por lo que es imposible.

En el caso particular del Bitcoin (BTC), está programado a ser generado hasta el año 2140 (tenemos tiempo para aprovechar) y tendrá como tope la cantidad de 21 millones de BTC (actualmente van 16.5 millones aproximadamente). Lo cual le hace ideal, debido a que no es imprimible a voluntad como hacen los gobiernos, protegiendo (a los usuarios de BTC) de devaluación debido a impresión sin sentido y desmedida, las criptomonedas no pueden ser falsificadas, duplicadas ni generadas a ritmos inadecuados.

Para manejar estas monedas es necesario utilizar programas llamados Wallets (carteras) que pueden ser instaladas en tu computadora o en tu movil. Y se comportan como tal, como billeteras, pues tus criptomonedas están asociadas a esa billetera en particular que si la extravías (olvidas la contraseña, o pierdes el dispositivo) pierdes las criptomonedas que tienes dentro. (Bueno, tiene la ventaja de que hay métodos para restaurar una cartera perdida, después de todo la Blockchain tiene los datos de dicha cartera).

Para evitar ese desastroso escenario, también existen carteras virtuales (basadas en tecnología de nube) donde el riesgo que corres es que olvides el acceso. Dependiendo de la criptomoneda que quieras utilizar hay diferentes aplicaciones y alternativas. La verdad es que todo en la vida implica un riesgo, pero el riesgo de manejar criptomonedas es menor que el de usar dinero.

bitso*Portal en México donde puedes vender o comprar algunas criptomonedas.

Las criptomonedas llegaron para quedarse, y están cambiando la forma en que se realizan los negocios. Es la evolución natural del dinero, y abren un nuevo panorama de  posibilidades, donde las transacciones en internet ya no requieren de intermediarios (Bancos). Las criptomonedas cambiaran el sistema financiero que conocemos ahora.

S1. Actividad 3

Es interesante trabajar en equipo, y mas en linea, Yo solo quiera estudiar matemáticas y disfrutar con la aparente simpleza predecible, en lugar de solucionar crucigramas y acertijos.

Pero al final existe la interacción con las personas, es inevitable. Y uno termina por aprender muchas cosas, mas de las personas. Sobre todo en esta etapa (del curso) donde no aprendí mucho tecnológicamente hablando.

He aquí el resultado de dicha interacción:

 

 

Cumpliendo con los requisitos de la actividad 3, en la sesión 1, del propedéutico para ingresar a la licenciatura en Matemáticas (si, con mayúscula a mitad de la frase).

Me gustan las Matemáticas, es hermosa la precisión de la realidad. Imagina una ecuación que pueda describirlo todo. La UnADM me da la oportunidad de estudiar y quizás, algún día, averiguarlo.